Skip to main content
FAQs
Complain
Problems
X
082540850
lamahinapa@gmail.com
लमही नगरपालिका, नगर कार्यपालिकाको कार्यालय
लमही,दाङ, लुम्बिनी प्रदेश,नेपाल
गृहपृष्ठ
परिचय
जनप्रतिनिधि
कर्मचारीहरु
लमही न.पाको कार्यालयमा कार्यरत कर्मचारी
लमही अस्पतालमा कार्यरत कर्मचारी
वडा कर्मचारी
स्वास्थ्य चौकीमा कार्यरत कर्मचारी
नगर स्वास्थ्य केन्द्रमा कार्यरत कर्मचारी
संक्षिप्त परिचय
वडा सम्बन्धि जानकारी
कार्यक्रम तथा परियोजना
बजेट तथा कार्यक्रम
योजना तथा परियोजना
प्रतिवेदन
वार्षिक प्रगति प्रतिवेदन
लेखा परीक्षण प्रतिवेदन
अनुगमन प्रतिवेदन
सार्वजनिक सुनुवाई
प्रकाशन
विधुतीय शुसासन सेवा
घटना दर्ता
सामाजिक सुरक्षा
नागरिक वडापत्र
निवेदनको ढाँचा
पत्र ढाँचा
सूचना तथा जानकारी
सूचना तथा समाचार
सार्वजनिक खरिद/बोलपत्र सूचना
ऐन कानुन निर्देशिका
कर तथा शुल्कहरु
निर्णयहरु
नगर परिषदका निर्णयहरु
नगरपालिका बोर्डको निर्णयहरु
नगरपालिकाका निर्णयहरु
निर्वाचन आयोग
ग्यालरी
अनलाइन फाराम
राेजगारमुलक सेवा
सम्पर्क
समाचार
लमही नगरपालिकाका लागि आवश्यक पर्ने औषधी तथा सर्जिकल समाग्री खरिदका लागि विद्युतिय दरभाउपत्र आह्वान सम्बन्धि प्रकाशित दोस्रो पटको सूचना
रिक्त पदमा स्थायी शिक्षक सरुवा सम्बन्धमा
करार सेवा लिने सम्बन्धमा
कोटेशन पेश गर्ने सम्बन्धमा - कृषि शाखा
कोटेशन पेश गर्ने सम्बन्धमा - कृषि शाखा
Invitation For Bids - Construction of Ex-army building at Ward 5
विशेषज्ञमा सूचीकृत हुने सम्बन्धमा
Invitation For Bids - पूर्वाधार शाखा
लमही अस्पतालका लागि आवश्यक औषधी तथा सर्जीकल समाग्री खरिद आह्वानको सूचना
स्वास्थ्य शाखाका लागि आवश्यक औषधी तथा औषधी जन्री समाग्री खरिद सम्बन्धि सूचना
स्यानिटरी प्याड खरिद सम्बन्धमा
रातो किताब २०८२/८३
आशयको सूचना प्रकाशन सम्बन्धि सूचना
लेखा परीक्षकको निवेदन दर्ता सम्बन्धी सूचना
वडा नं.४का अव्यवस्थित बसोबासीहरुको निवेदन प्रमाणिकरणको लागि ७ दिने सार्वजनिक सुचना
पराल उपलब्ध गराइदिने सम्बन्धमा
२०८२/०४/१२ गते देखि २०८२/०५/१३ गतेको कार्यपालिका बैठक निर्णयहरु
दररेट उपलब्ध गराइदिनु हुन
सवारी साधन प्रयोग सम्बन्धमा
आय ठेक्का सम्बन्धी सूचना- राजस्व शाखा - दोस्रो पटक प्रकाशित सूचना
पशुपन्छीमा खोप कार्यका लागि भ्याक्सिनेटर आवश्यकता सम्बन्धी सूचना
आय ठेक्का दरभाउपत्रको म्याद थप सम्बन्धि सूचना
म्याद थप गर्ने सम्बन्धमा
सुशासन प्रवर्धन तथा भ्रस्टाचार नियन्त्रण सम्बन्धी पालिकास्तरीय अन्तरक्रिया कार्यक्रममा
स्थानीय बिदा सम्बन्धमा - अट्वारी बिदा
दरभाउपत्र/बोलपत्र आह्वान सम्बन्धी सूचना - राजस्व शाखा
निजी जग्गामा बृक्षारोपण/कृषि वन स्थापनाका लागि अनुदान दिईने बारेको सूचना
वडा नं २को आवस्थित बासोबसीका लागि १५ दिने सूचना
वडा नं ५को आवस्थित बासोबसीका लागि १५ दिने सूचना
वडा नं ७को आवस्थित बासोबसीका लागि १५ दिने सूचना
वडा नं ६को आवस्थित बासोबसीका लागि १५ दिने सूचना
हार्दिक अपिल - विपद व्यवस्थापन
कार्यपालिका बैठक निर्णय २०८२/०२/२७ गते देखि २०८२/०४/०८ गते सम्म
१५ दिने सार्बजनिक सूचना - ८ नं वडा कार्यालय
आधिकारिक आपूर्तिकर्तामा सूचीकृत हुन र दर रेट पेश गर्ने समबन्धमा - लमही अस्पताल
स्थानीय बिदा सम्बन्धमा
रिक्त पदमा स्थायी शिक्षक सरुवा सम्बन्धमा
१५ दिने सार्बजनिक सूचना प्रकाशन सम्बन्धि सूचना - ३ नं वडा कार्यालय
१५ दिने सार्बजनिक सूचना प्रकाशन सम्बन्धि सूचना - १ नं वडा कार्यालय
आय ठेक्का सम्बन्धि बोलपत्र आहवान सम्बन्धि सूचना
स्वास्थ्य बीमा नविकरण सम्बन्धमा
ठेक्का रद्ध गर्ने सम्बन्धमा - इ-स्प्रे टंकी
सामाजिक सुरक्षा भत्ता परिचयपत्र नविकरण सम्बन्धमा
राजस्व रकम बैंक दाखिला गर्ने सम्बन्धमा - वडा कार्यालय सबै
तहवृद्धिका लागि आवेदन फारम पेश गर्ने सम्बन्धी सूचना
फलफुलको वेर्नाहरु माग सम्बन्धि सूचना
अफ्रिकन स्वाइन फिभर रोग सम्बन्धि सूचना
आ.व. २०८२/८३ को वार्षिक नीति कार्यक्रम
बजेट बक्तव्य - २०८२/८३
अत्यावश्यक सेवा बाहेक अन्य सेवा बन्द रहने बारे
You are here
Home
» Invitation For Bids - पूर्वाधार शाखा
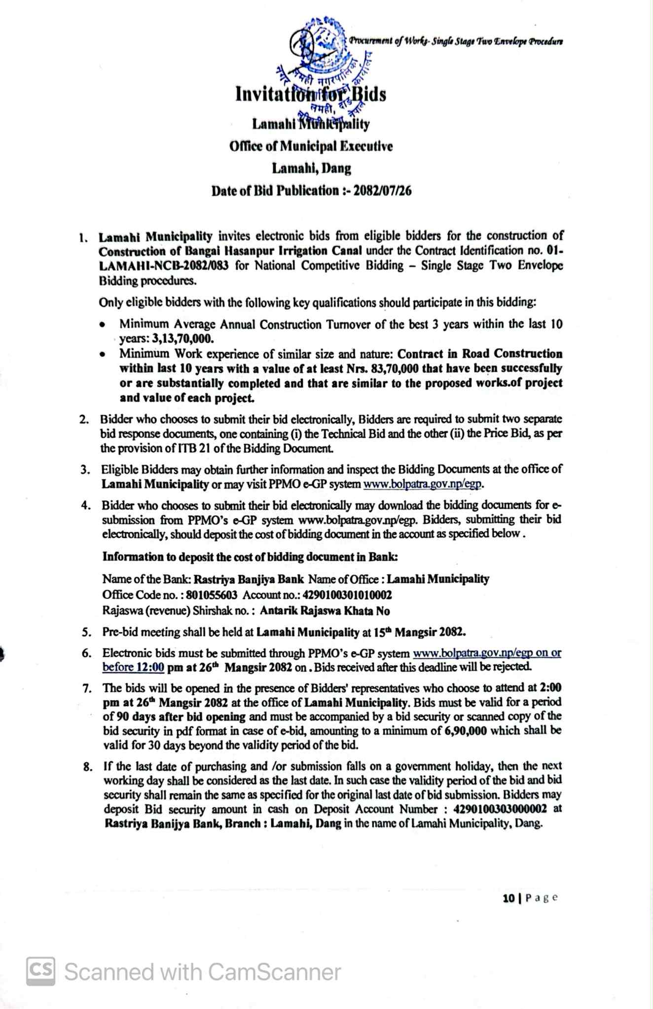
Invitation For Bids - पूर्वाधार शाखा
Submitted on:
Fri, 11/14/2025 - 10:20
सूचना र सामान्य नियमावली
२०८२/०४/१२ गते देखि २०८२/०५/१३ गतेको कार्यपालिका बैठक निर्णयहरु
कार्यपालिका बैठक निर्णय २०८२/०२/२७ गते देखि २०८२/०४/०८ गते सम्म
२०८१ चैत्र २३ गते देखि २०८२ जेष्ठ ४ गते सम्मको कार्यपालिका बैठक निर्णय
मिति २०८१ पुष २८ गते देखि २०८१ चैत्र १२ गतेसम्मका कार्यपालिका निर्णयहरु
२०८०/०८/२८ गते देखि २०८१/०८/१७ गतेसम्मको कार्यपालिका निर्णय
१५ औं नगरसभाको निर्णय
चैत्र ३० गते देखि बैशाख २५ गतेसम्मको निर्णय
२०८० चैत्र १२ गते देखि चैत्र १८ गते सम्मको कार्यपालिका बैठकको निर्णय
कार्यपालिका बैठक निर्णय - २०८०-५-४
मिति २०८०/०२/०४ देखि २०८०/०३/०८ गते सम्मका कार्यपालिका बैठक निर्णय
मिति २०७९-१२-०७ गते देखि मिति २०७९-१२-१४ गते सम्मका कार्यपालिका बैठक निर्णय
अन्य सूचना
थप जानकारी
श्रमसंसार पोर्टल जानकारी
भर्चुअल करचुक्ता प्रणाली
लमही नगरपालिकाको स्वास्थ्य सम्बन्धि प्रोफाइल
घर नक्सा पास
डिजिटल इन्फोग्राफिक प्रोफाइल
ट्रेडिसनल युनिकोड (Traditional Unicode)
रोमनाइज्ड युनिकोड (Romanized Unicode)
गुगल इन्पुट टुल्स (Google Input Tools)
लिंक
अनलाइन घटना दर्ता
आन्तरिक मामिला तथा कानून मन्त्रालय, लुम्बिनी प्रदेश
जिल्ला प्रशासन कार्यालय,दाङ्ग
निर्वाचन आयाेग,नेपाल
प्रदेश सभा, लुम्बिनी प्रदेश
फाराम
बन तथा वातावरण मन्त्रालय
महालेखा नियन्त्रक कार्यालय
मालपोत कार्यालय, लमही, दाङ
मुख्यमन्त्री तथा मन्त्रिपरिषद्को कार्यालय,लुम्बिनी, प्रदेश
राष्ट्रिय योजना आयोग
शहरी विकास मन्त्रालय
सार्बजनिक खरिद अनुगमन कार्यालय
नगरपालिका बोर्डका निर्णयहरु
२०८२/०४/१२ गते देखि २०८२/०५/१३ गतेको कार्यपालिका बैठक निर्णयहरु
कार्यपालिका बैठक निर्णय २०८२/०२/२७ गते देखि २०८२/०४/०८ गते सम्म
२०८१ चैत्र २३ गते देखि २०८२ जेष्ठ ४ गते सम्मको कार्यपालिका बैठक निर्णय
मिति २०८१ पुष २८ गते देखि २०८१ चैत्र १२ गतेसम्मका कार्यपालिका निर्णयहरु
अन्य
सार्वजनिक खरीद / बोलपत्र सूचना
लमही नगरपालिकाका लागि आवश्यक पर्ने औषधी तथा सर्जिकल समाग्री खरिदका लागि विद्युतिय दरभाउपत्र आह्वान सम्बन्धि प्रकाशित दोस्रो पटको सूचना
Invitation For Bids - Construction of Ex-army building at Ward 5
Invitation For Bids - पूर्वाधार शाखा
लमही अस्पतालका लागि आवश्यक औषधी तथा सर्जीकल समाग्री खरिद आह्वानको सूचना
स्वास्थ्य शाखाका लागि आवश्यक औषधी तथा औषधी जन्री समाग्री खरिद सम्बन्धि सूचना
अन्य